The DC model is a one-way clutch with an irregular actuator retainer, but does not include the inner and outer rings.
This model must be paired with the customer's self-designed inner and outer rings, supporting axial and radial loads of the bearing, along with lubricating grease and oil seals.
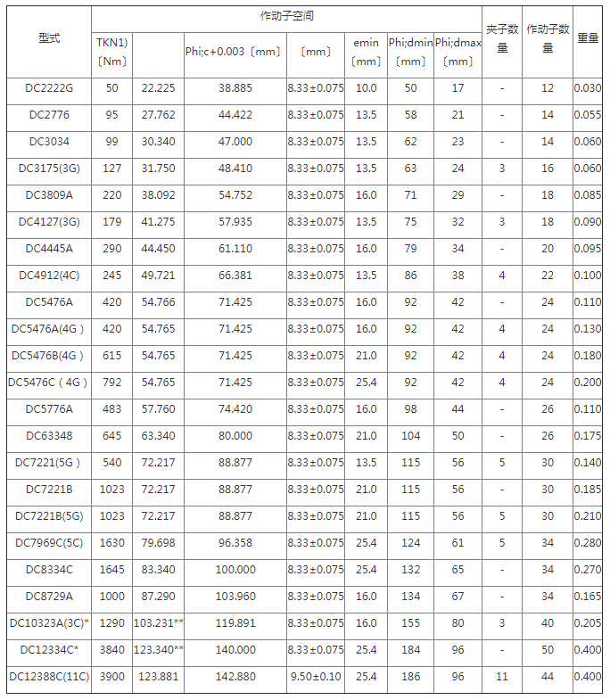
The spatial tolerance for the irregular actuator contact surface must be within range; the width of the contact surface between the outer and inner rings must not be less than dimension "e." The contact surface must be free of grooves to ensure proper function; please refer to the next page.
Original factory offers standard inner and outer rings; please refer to the next page.
If self-manufacturing hardened steel shafts and workpiece walls, please refer to the following surface hardness specifications.
The hardness of the ground contact surface is HRC60~62, with a hardening depth greater than 0.6mm.
The internal hardness of the contact surface is HRC35~45, the surface smoothness of the contact surface must be less than 22CLA, and the maximum allowable tilt on the contact surface is a deviation of 0.007mm within a width of 25mm.



































